学院首页
走进交院
交院概况
交院特色
院系介绍
公路学院
汽车学院
物流学院
轨道交通学院
建筑工程系
交通信息工程系
航运海事系
商务旅游系
专业介绍
报考指南
招生简章
考生答疑
资助政策
国家助学金
奖学金
困难补助
绿色通道
勤工助学
助学贷款
收费标准
毕业生就业
联系我们
当前位置:
学院首页
>
阳光公告
>
正文
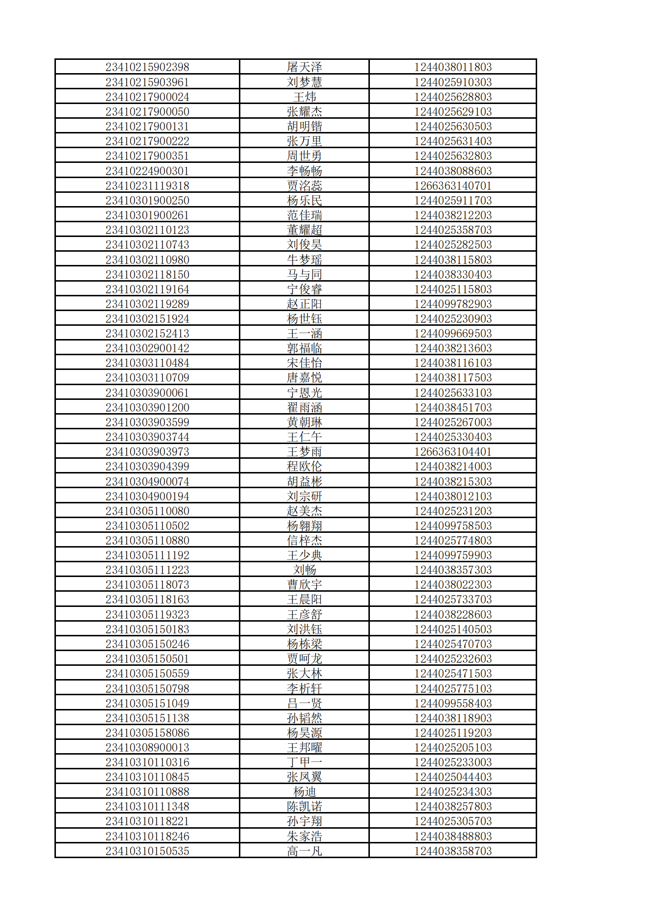
2023年单招录取通知书邮寄单号
【来源: | 发布日期:2023-08-16 】
关闭
打印