学院首页
走进交院
交院概况
交院特色
院系介绍
公路学院
汽车学院
物流学院
轨道交通学院
建筑工程系
交通信息工程系
航运海事系
商务旅游系
专业介绍
报考指南
招生简章
考生答疑
资助政策
国家助学金
奖学金
困难补助
绿色通道
勤工助学
助学贷款
收费标准
毕业生就业
联系我们
当前位置:
学院首页
>
阳光公告
>
正文
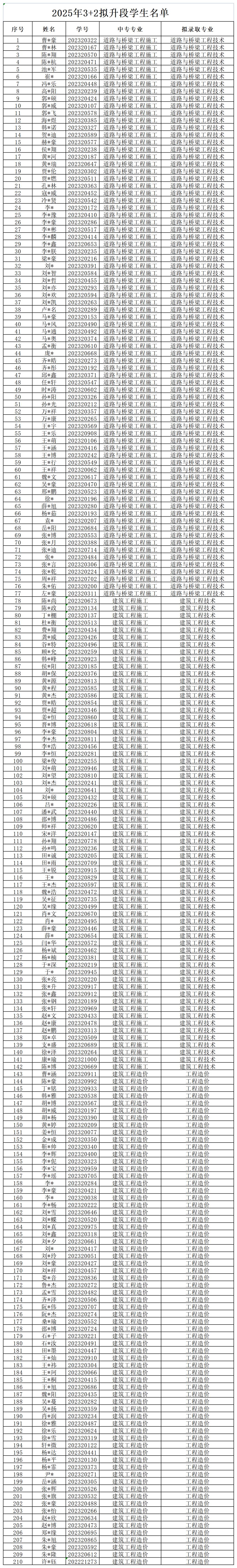
2025年3+2拟升段学生名单
【来源: | 发布日期:2026-03-10 】
拟录取名单公示期:2026年3月10日-14日。公示期间,如对拟录取结果有异议,请拨打学院招生咨询电话: 0371-60868271/60868272。
关闭
打印